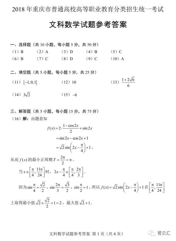
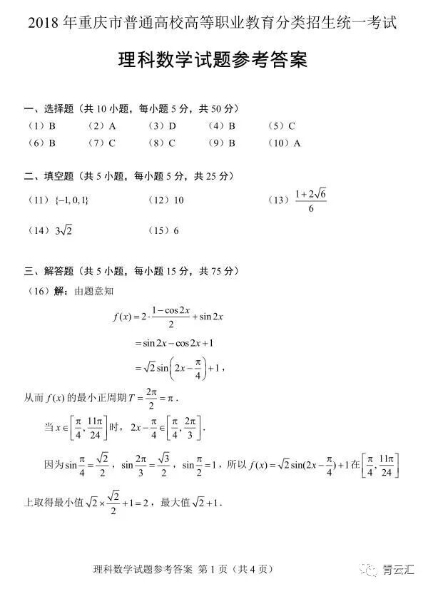
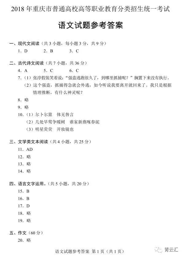
我市2018年高职分类考试已经结束,我校为大家第一时间整理了普高类各科目的参考答案,赶快来看看吧。
来源 | 重庆招考信息网
重庆艺术工程职业学院
网址:https://zb.cqysxy.com/
电话:023-45260369
地址:重庆市铜梁区学府大道
各地区联系电话:(点击进入)